服務熱線
13889943666










全國服務熱線
一、硬度
是材料抵抗彈性變形,塑性變形或破壞的能力。對于以壓入法進行的硬度試驗,硬度是物質抵抗另一較堅硬的具有一定形狀和尺寸的物體壓入其表面的能力。
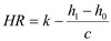
1、洛氏硬度試驗的原理
洛氏硬度測定方法是用規定的壓頭,在先后施加的兩個試驗力(初試驗力Fo和總試驗力F)作用下,壓入試樣表面,在總試驗力保持一定的時間后,卸除主試驗力F1.保留初試驗力,測量其壓入深度h1.以壓入深度h1和在初試驗力作用下的壓入深度ho之差Δh表示洛氏硬度的高低,以壓頭軸向位移0.002毫米作為一個洛氏硬度單位,其作用原理見下圖。
洛氏硬度值計算公式:
式中C——常數等于0.002毫米
K——常數當采用金剛石圓錐壓頭時為100.
當采用硬質合金球壓頭時為130
洛氏硬度試驗原理圖

2、洛氏硬度試驗特點
洛氏硬度試驗采用測量壓入深度的方法,硬度值通過液晶屏直接讀出,因此操作簡單方便,容易掌握,工作效率高,適應于成批零部件的檢驗;洛氏硬度試驗法,可以采用金剛石壓頭和硬質合金球壓頭,可以測量較硬和較軟的試樣,使用范圍廣泛,因此洛氏硬度試驗在生產中得到廣泛應用,成為檢驗產品質量,確定合理的加工工藝的主要檢測手段。洛氏硬度計是生產企業,大中院校,科研機構進行硬度試驗,教學科研工作最常用的試驗儀器。
二、硬度計的應用
洛氏硬度試驗按材料硬度范圍,試樣厚度不同,可以選擇不同的壓頭及試驗力,并用不同的標尺表示,最常用的有A、B、C標尺,下表給出了常用標尺試驗力,壓頭、常數K的數值及適用范圍與應用舉例。
表1 洛氏硬度計使用范圍
|
洛氏硬度標尺 |
硬度符號 |
壓頭類型 |
總試驗力 F牛頓(公斤) |
常數 |
適用范圍 |
應用舉例 |
|
A |
HRA |
金剛石圓錐壓頭 |
588.4(60) |
100 |
20-95HRA |
硬金屬及硬質合金 |
|
B |
HRB |
直徑1.5875mm硬質合金球壓頭 |
980.7(100) |
130 |
10-100HRBW |
有色金屬及軟金屬 |
|
C |
HRC |
金剛石圓錐壓頭 |
1471(150) |
100 |
20-70HRC |
熱處理結構鋼、工具鋼 |
|
D |
HED |
金剛石圓錐壓頭 |
980.7(100) |
100 |
40-77HRD |
表面淬火鋼、薄鋼 |
|
F |
HRF |
直徑1.5875mm硬質合金球壓頭 |
588.4(60) |
130 |
60-100HRFW |
有色金屬 |
|
G |
HRG |
直徑1.5875mm硬質合金球壓頭 |
1471(150) |
130 |
30-94HRGW |
珠光體鐵、銅鎳、鋅合金 |
A標尺:適用于測定硬度超過70HRC的金屬,如碳化鎢、硬質合金,也可以測定硬的薄板材料及表面層淬硬的材料。
B標尺:用于測定有色金屬及其合金,退火鋼或未經淬硬的鋼制品等較軟或中等硬度材料。
C標尺:用于測定碳鋼、工具鋼及合金鋼等經過熱處理的鋼制品材料的硬度。
三、主要技術參數
1、初試驗力 98.07N(10kgf)
2、總試驗力 588.4N(60kgf)980.7N(100kgf)1471N (150kgf)
3、試件最大高度 加絲杠保護套時為100mm
不加絲杠保護套時為200mm
4、壓痕中心至機壁距離 135mm
5、硬度計外形尺寸 510×230×730mm
6、硬度計凈重 75kg
7、工作電壓 220V50HZ
8、硬度值分辨率 0.1
四、機構性能簡述【見圖一】

本硬度計由機身(1)、加卸荷機構(28)、測量機構(8)、微處理器控制機構(29)、液晶顯示機構(31)及試件支持機構(5)等部分組成,機身為一封閉的殼體,除工作臺、絲杠、砝碼變荷手柄(30)露出外,其它機構均裝置在機身殼體內,便于保持清潔。
試驗力施加機構由主軸(7)、大杠桿(15)、砝碼(19)、電動升降機構(28)、砝碼變換機構(18)、控制電路等組成。
初試驗力主要由主軸(7)、壓頭(32)、大杠桿(15)、小杠桿(9)、頂桿(33)等零件的重量以及傳感器(8)的測量壓力產生,當試件與壓頭(32)接觸并繼續上升,使大、小杠桿處于水平位置時(液晶顯示器上進度條到達標記“└┘”范圍內),由于杠桿等的重量以及傳感器的測量壓力,壓頭即可受到98.07N(10kgf)的初試驗力。
總試驗力由主試驗力(由砝碼的重量產生)加上初試驗力組成。在電動升降機構(28)頂端上設有梅花頂桿(34),梅花頂桿上放有三個砝碼(19)與一個吊環(17),當加荷時,凸輪(35)轉動使梅花頂桿(34)下降、吊環砝碼也隨同下降,當吊環、砝碼在下降過程中被裝于大杠桿尾端的小刀子(36)托住時,梅花頂桿與吊環脫離,主試驗力便通過大杠桿穩定地作用在壓頭上。使壓頭處受到總試驗力的作用。
機身內裝有砝碼變換器(18),當轉動變荷手把(30)至標示位置時,便可得到所對應的1471N(150 kgf)、980.7N(100 kgf)或588.4N(60 kgf)三種不同的總試驗力。

液晶顯示機構由液晶屏(31),設置鍵(55),打印鍵(58)、退出鍵(56)、啟動鍵(57),方向鍵(51)—(54)等部分組成,液晶屏(31)用于顯示硬度值、工作狀態,設置等內容。設置鍵(55)用于修改標尺、設置試驗力保持時間、調整日期時間、設置統計點數、系統設置等。打印鍵(58)用于將測試的硬度值打印出來。退出鍵(56)用于在試驗過程中直接退出。啟動鍵(57)用于啟動一次新的測試過程,方向鍵(51)—(54)用于選擇不同的選項和修改數值
通過液晶屏下方面板上的設置按鈕(55)及方向按鈕(51)—(54)可將試驗力保持時間設置在0—50S的范圍。
測量指示機構由頂桿(33)、小杠桿(9)、調整板(10)、調整螺釘(11)、傳感器(8)及液晶屏(31)等零件組成。當上升試件、壓頭被頂起時,頂桿便頂起小杠桿帶動傳感器的測量桿移動,液晶屏顯示移動量。
試件支持機構包括工作臺(6)、絲杠(5)、手輪(4)等零件。
五、數顯硬度計的安裝方法
1、準備工作
①硬度計的工作環境應干燥清潔,沒有腐蝕性氣體。
②硬度計的工作環境應無來自外界的機械振動。
③硬度計的工作環境應在18—28℃之間。
④試驗臺(自備)應以水泥或金屬為基體,具有一定的剛度和強度,能夠承載硬度計及其附件,臺面應如圖所示(圖中尺寸僅供參考),帶有Φ70毫米的孔,以供絲杠通過,整個臺面的水平度要在0.2∕1000之內。

⑤硬度計的周圍應留有適當的空間,以進行必要的安裝、維修、調試等工作。
2.數顯洛氏硬度計拆箱步驟:[見圖二]

① 剪斷外包裝箱上的包裝帶,將固定箱殼和底座的木螺釘取下,將箱殼向上抽出,拆除機身底部4個地腳固定螺釘。
② 按裝箱單檢查各附件的完整性。
③ 打開機上蓋(14)及后蓋(20)。
④ 松開杠桿尾端杠桿固定螺釘(43)。
⑤松開螺母(42)卸掉鉤頭螺釘(41)取出砝碼固定壓板(45)。
⑥用手捏住吊環(17)向上緩緩提起砝碼組(19)并同時將砝碼固定支撐塊(46)取出,然后再將砝碼組(19)輕輕放下,使砝碼圓柱銷(47)落入托板(48)的溝槽中,將砝碼(19)托住。
⑦解開小杠桿緊固線繩(49)。
⑧轉動手輪(4)使絲杠(5)下降,取出壓頭墊塊(50)。
2.卸下絲杠保護套(51),用煤油將出廠時涂于絲杠(5)、手輪(4)等處的防銹油洗凈,然后澆入少量潤滑油于絲杠(5)與手輪(4)接觸處,并重新將絲杠保護套(51)裝好。
3.檢查大杠桿上(15)的調整塊(13)的位置,是否處于兩個紅色標記之間,否則應將其重新裝入正確位置。
4.把大平工作臺(6)裝在絲杠(5)上端,再將水平儀放在大平工作臺臺面上,可用金屬墊片墊在機身底面,使前后左右兩個方向的水平度在0.2/1000之內。
以上就是由佛山精測儀器硬度計部門為您整理的數顯洛氏硬度計使用說明書!如果您在使用過程中遇到關于數顯洛氏硬度計的技術問題可以聯系技術人員免費為您提供技術問題。技術熱線:13889943666
精測公眾號
精測公眾號